The conversion of adenosines to inosines by ADARs is known as RNA editing.
RNA is the blueprint for protein production in cells. Adenosine deaminases acting on RNA (ADAR) present in cells can catalyze single-base changes in RNAs. Adding a guide RNA to ADAR allows RNA editing of complementary strands. Compared to DNA editing, RNA editing is reversible since cells constantly metabolize new RNA copies. A transcript’s sequence is altered during RNA-editing by insertion, deletion, or modification of nucleotides. The result is a change in information content from the original encoded genomic transcript.
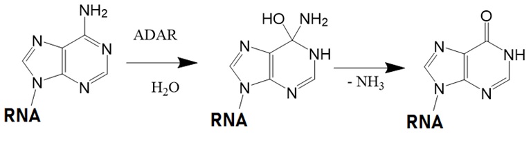
Adenosine deaminases acting on RNA (ADARs) enzymes convert adenosine to inosine in duplex RNA via a deamination reaction of adenosine. Inosine functions similarly to guanosine in many cellular processes including during splicing, translation, and reverse transcription by base pairing with cytidine.
Adenosine-to-inosine editing can form alternative splice variants, alter microRNA processing and targeting, change codon sequences and suppress the activation of the innate immune system by endogenous double-stranded RNAs.
Dysregulated RNA editing is linked to neurological disorders such as epilepsy, seizures, and Amyotrophic Lateral Sclerosis (ALS) involving ADAR2. Apparently, mutations in the ADAR1 gene also cause the autoimmune disease Aicardi-Goutieres Syndrome and Dyschromatosis Symmetrica Hereditaria.
Adenosine-to-inosine (A-to-I) editing enables the treatment of guanosine-to-adenosine (G-to-A) mutations. A-to-I editing involves the hydrolytic deamination of adenosine to an inosine base. The protein family of RNA-specific deaminases called “adenosine deaminases acting on RNA (ADARs) mediate this reaction by acting on different types of RNA. However, editing events in coding regions of mRNAs are of particular interest since every A-to-I change is read as an A-to-G change during translation. Utilizing this reaction allows the recoding of RNA sequences to correct genetic mutations within mRNAs. One major challenge is re-directing ADAR’s activity towards A’s that are not naturally edited.
Discovery of RNA editing
In 1986, Benne et al. reported that the mitochondrial cytochrome oxidase (cox) subunit II gene from trypanosomes contains a frameshift at amino acid 170. Since no second version of the coxII gene was detected, the research group concluded that the extra nucleotides are added during or after transcription of the frameshift gene by an RNA-editing process.
Demonstration of the possibility of RNA editing
In 1995, Woolf et al. pointed out that treating genetic diseases caused by specific base substitutions is possible by rationally designed RNA editing of mutated RNA sequences. To demonstrate that therapeutic RNA editing is possible, the research group used a synthetic complementary RNA oligonucleotide to direct the correction of a premature stop codon mutation in dystrophin RNA.
The researchers employed complementary RNA oligonucleotides in conjugation with cellular double-stranded RNA adenosine deaminase (dsRAD). Directed RNA editing involves hybridization of the complementary RNA oligonucleotide to a premature stop codon followed by treatment with nuclear extracts containing the cellular enzyme double-stranded RNA adenosine deaminase. This experiment resulted in a dramatic increase in the expression of a downstream luciferase coding region. The analysis of the cDNA sequence revealed the deamination of the adenosine in the UAG stop codon to inosine by double-stranded RNA adenosine deaminase. As a proof of principle, the injection of oligonucleotide-mRNA hybrids into Xenopus embryos also increased luciferase expression.
| Figure 1: Schematic representation of general therapeutic RNA editing. X represents a mutated nucleotide and Y represents a corrected nucleotide. The hybrid formed by the RNA oligonucleotide and the targeted region containing the mutated base forms a substrate for double-stranded RNA adenosine deaminase (dsRAD) (Adapted from Woolf et al.).
|
.
| |
Dimer of Human Adenosine Deaminase Acting on dsRNA mutant E488Q in complex with a dsRNA human GLI1 Gene sequence [PDB ID 6VFF]. | Reaction mechanism of ADAR2 including showing the intermediate. |
ADARs contain two main structural motifs. The first motif contains a double-stranded RNA binding Domain (dsRBD). The second motif contains a Deaminase Domain (DD) carrying out the catalytic activity. ADARs use a flipping mechanism to move the adenosine out of the A-form RNA helix into the enzyme’s catalytic pocket where the A-to-I conversion occurs.
Exon-skipping antisense oligonucleotide strategy
Kim et al. recently used an exon-skipping antisense oligonucleotide (ASO) strategy in cultured human bronchial cells expressing the mutation to achieve gene-specific NMD evasion in the hope to cure the disorder. A mixture of two antisense oligonucleotides (ASOs) was utilized that promotes the skipping of exon 23 of the CFTR-W1282X mRNA resulting in NMD resistance thereby preserving the reading frame. The hope is to develop a therapeutic approach allowing the treatment of CF in affected people.
Cystic fibrosis (CF) is an inherited disorder of the lungs, digestive system, and other organs of the human body. Cystic fibrosis affects the cells producing mucus, sweat and digestive juices. In people with CF, a gene defect causes these secretions to become sticky and thick. These thick secretions plug up tubes, ducts and passageways, especially in lungs and pancreas. Presently, there is no treatment available for CF caused by the CFTR-W1282X mutation located on CFTR exon 23. Nonsense-mediated messenger RNA (mRNA) decay (NMD) degrades the CFTR-W1282X mRNA. The result is a low level of functional CFTR protein.
Reference
Bhakta S, Tsukahara T. Artificial RNA Editing with ADAR for Gene Therapy. Curr Gene Ther. 2020;20(1):44-54. [PubMed]
Benne R, Van den Burg J, Brakenhoff JP, Sloof P, Van Boom JH, Tromp MC. Major transcript of the frameshifted coxII gene from trypanosome mitochondria contains four nucleotides that are not encoded in the DNA. Cell. 1986 Sep 12;46(6):819-26. [PubMed]
Bhakta Sonali and Tsukahara Toshifumi *, Artificial RNA Editing with ADAR for Gene Therapy, Current Gene Therapy 2020; 20(1) . [Eurekaselect]
Cystic Fibrosis
Kim, Y.J., et al., “Exon-skipping antisense oligonucleotides for cystic fibrosis therapy”, PNAS, January 18, 2022. [PNAS]
Thuy-Boun AS, Thomas JM, Grajo HL, Palumbo CM, Park S, Nguyen LT, Fisher AJ, Beal PA. Asymmetric dimerization of adenosine deaminase acting on RNA facilitates substrate recognition. Nucleic Acids Res. 2020 Aug 20;48(14):7958-7972. [PMC]
Woolf TM, Chase JM, Stinchcomb DT. Toward the therapeutic editing of mutated RNA sequences. Proc Natl Acad Sci U S A. 1995 Aug 29;92(18):8298-302. [PMC]
---...---
.jpg)
.jpg)
.jpg)